Women’s Health: Innovative Medications for Menopause
Introduction:
Women spend about one-third of their lives in menopause or post-menopause, a period that marks the gradual decline of their reproductive capabilities [1, 2]. Menopause typically begins between the ages of 45 and 55 and is marked by 12 consecutive months without menstruation. Menopausal syndrome refers to a series of physiological and psychological symptoms experienced by women during the menopause transition due to the gradual decline in ovarian function, decreased estrogen levels, and endocrine system imbalance. Many women experience symptoms during menopause such as menstrual irregularities, hot flashes, sweating, insomnia, mood swings, joint and muscle pain, vasomotor symptoms, metabolic disorders, and urogenital symptoms. Menopausal symptoms can start several years before menopause (perimenopause) and continue for several years after menopause. These symptoms impact the physical and mental health and quality of life of perimenopausal women. Although 80-90% of menopausal women exhibit varying degrees of symptoms, there has historically been a lack of effective drug interventions for menopausal syndrome. However, recent years have seen significant advances in drug development to address menopausal syndrome. Reliable preclinical models and strategies can significantly promote drug development, and this article will discuss these topics.
How does Menopause Occur?
All women will experience menopause, a process that usually occurs naturally but can also follow medical intervention. A woman’s menstrual cycle typically establishes itself within a decade or so after menarche, cycling every 23-35 days. Under the regulation of the hypothalamic-pituitary-ovarian (HPO) axis [3] (Figure 1), the reproductive system undergoes the following cyclical changes:
- Follicular/Proliferative phase Stimulated by hormones upstream in the HPO axis, the ovaries increase estrogen secretion, leading to rapid follicular growth and thickening of the endometrium.
- Luteal/Secretory phase After ovulation, the follicle forms the corpus luteum, which begins to secrete large amounts of progesterone and estrogen, further increasing the thickness of the endometrium, preparing for early embryo implantation.
- Menstrual phase If fertilization and implantation do not occur after ovulation, the corpus luteum rapidly degenerates, causing a significant drop in estrogen and progesterone levels in the blood. The proliferated endometrial tissue necroses and sheds, accompanied by blood vessel rupture and bleeding, leading to menstruation.
As women age, ovarian follicle function gradually declines, resulting in a significant reduction in estrogen levels in the blood, bringing about menopause. For most women, menopause is marked by the cessation of menstruation due to the loss of ovarian follicle function, indicating that the ovaries can no longer release eggs, and the woman loses her reproductive capacity.
Figure 1. Regulation of the HPO axis [3]
What are the Manifestations of Menopausal Symptoms?
Approximately 80-90% of women exhibit noticeable symptoms during menopause, with one-third experiencing severe symptoms. Due to the widespread distribution of estrogen receptors throughout the body, a reduction in estrogen secretion can trigger changes in multiple systems, including the urogenital, metabolic, cardiovascular, endocrine, nervous, muscular, and skeletal systems, leading to a series of downstream symptoms. The typical menopausal symptoms mainly include the following aspects [4]:
- Psychological and Cognitive Aspects
“Brain fog” is a term patients use to describe difficulty concentrating, memory decline, slowed thinking and reactions, and mental fatigue. Menopausal women may experience mood swings such as depression, insomnia, forgetfulness, and anxiety. Although the exact pathological mechanisms of these changes are not fully understood, these symptoms can significantly impact the daily life and work of menopausal women.
- Vasomotor Symptoms
Vasomotor symptoms (VMS) are one of the most common symptoms during the perimenopausal period, occurring in about 80% of perimenopausal women and possibly lasting for over a decade [5]. The most prominent manifestations of VMS are hot flashes and night sweats, which result from imbalanced thermoregulation caused by abnormal activation of heat loss responses leading to peripheral vasodilation, sweating, and cooling behaviors. The occurrence of hot flashes is related to reduced secretion of sex hormones, particularly estrogen, as estrogen plays a key role in thermoregulation.
- Urogenital System
The urogenital system is highly sensitive to changes in estrogen levels. Estrogen deficiency in menopausal women can lead to problems in urogenital organs such as the vagina and bladder, resulting in atrophic vaginitis and lower urinary tract symptoms (LUTS). Commonly reported symptoms in menopausal women include vaginal dryness, genital itching, decreased libido, dyspareunia, frequent urination, and urinary incontinence. These symptoms are also referred to as genitourinary syndrome of menopause (GSM).
- Long-term Health Impacts
As menopause progresses, long-term health impacts on women become apparent, particularly in cardiovascular, skeletal, and urogenital health. The cardiovascular disease risk advantage that women have gradually diminishes with declining estrogen levels, as endothelial dysfunction increases the risk of cardiovascular diseases. Women over 60 have a much higher incidence of osteoporosis compared to men, due to reduced estrogen levels altering the activity of osteoclasts and osteoblasts within bone tissue, leading to structural changes, decreased bone density, and increased fracture risk. Additionally, low estrogen levels can raise the risk of urinary tract infections. The risk of pelvic organ prolapse also increases due to weakened pelvic support structures. Post-menopause, changes in vaginal structure, such as thinning of the vaginal walls, increase the likelihood of lesions and tears, thereby raising the risk of sexually transmitted infections.
How to Manage Menopausal Symptoms?
A range of hormonal and non-hormonal interventions can help alleviate menopausal symptoms. Hormone replacement therapy (HRT) is an effective option for managing vasomotor and urogenital symptoms of menopause, particularly for women under 60 or within 10 years of menopause, as these symptoms affect approximately 80% and 50% of menopausal women, respectively [5]. Oral or transdermal estrogen supplementation can significantly improve hot flash symptoms, while vaginal estrogen products are the most effective treatment for menopausal urogenital symptoms. Hormone therapy also shows good efficacy in preventing menopausal osteoporosis. However, hormone therapy is not suitable for all women as it may increase the risks of breast cancer, cardiovascular disease, and stroke. Alternative non-hormonal therapies have also gained widespread attention in innovative drug development. In May 2023, the FDA approved the NK3 receptor antagonist fezolinetant for the treatment of menopausal hot flashes [6], marking a breakthrough in related drug development.
How to Reproduce Menopausal Symptoms in Animal Models?
In laboratory research, the ovariectomized (OVX) rat model is the most commonly used menopausal animal model, effectively simulating downstream symptoms caused by ovarian failure. WuXi Biology has established a comprehensive research platform for urogenital and endocrine diseases and has developed various animal models to explore a range of female health issues.
The WuXi Biology team found that after bilateral ovariectomy in rats, the animals exhibited a significant increase in body weight in the short term, maintaining over 25% weight gain within 20 weeks post-surgery (Figure 2A). The rats’ uteri and vaginas significantly atrophied (Figure 2B, C), and the estrous cycle completely disappeared (Figure 2D).
Figure 2. Ovariectomized Rat Model (Source: Internal Data from WuXi Biology) A. Body weight changes; B. Uterus weight ratio; C. Vaginal weight ratio; D-F. Estrous cycle.
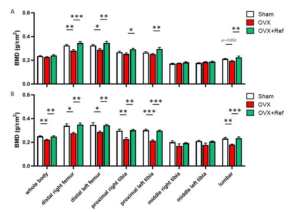
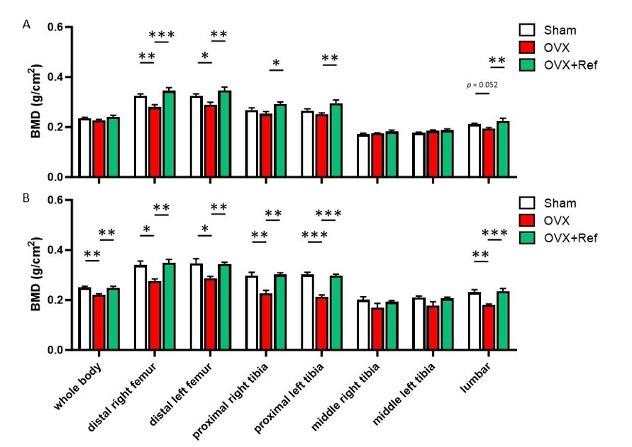
Using DEXA whole-body scanning technology, it was found that overall bone density decreased in OVX rats, with different degrees of reduction in the tibia, femur, and lumbar spine; the reduction was more pronounced at the ends of the long bones and in the lumbar spine compared to the midshaft of the long bones (Figure 3).
Figure 3. Bone Mineral Density (BMD) Changes in Ovariectomized Rat Model (Source: Internal Data from WuXi Biology) A. 4 weeks after OVX; B. 20 weeks after OVX.
Histopathological staining of the uterus and vaginal tissues indicated increased inflammatory infiltration and edema, as well as typical symptoms of atrophic vaginitis, such as thinning and fibrosis of the vaginal epithelium and lamina propria, in OVX rats (Figure 4). With continuous estrogen supplementation (Ref in Figure 2-4) after ovariectomy, the team found significant improvements in the profiles of weight gain, reproductive organ lesions, disappearance of the estrous cycle, and bone density reduction in these animals (Figure 2-4). These data confirm that this model can reproduce relevant clinical manifestations of menopausal syndrome and is an effective model for evaluating related drug therapies.
Figure 4. Histopathological Changes in Uterus and Vagina of Ovariectomized Rat Model (Source: Internal Data from WuXi Biology) Arrows indicate Edema and Inflammation; Double-headed arrows indicate thinning of epithelium and lamina propria.
Conclusion
The number of women experiencing menopause globally is increasing year by year, and the proportion of menopausal women in the total population will continue to rise. The Urogenital and Endocrine Disease Platform of WuXi Biology focuses on various women’s health issues, including menopause, and has established multiple models for urogenital and endocrine diseases (Table 1). These models are expected to provide valuable support for drug development related to women’s health, accelerating the discovery of new drugs and promoting their faster application in clinical practice.
Table 1. Models and Services of Urogenital and Endocrine Disease Platform, WuXi Biology
Women’s Health |
Female InfertilityPolycystic Ovary Syndrome (PCOS) | mouse/rat | Letrozole & High-fat diet (HFD) model, DHEA model Premature ovarian failure (POF) | mouse | Cisplatin model Endometriosis | mouse | Transplantation model, Perfusion model Adenomyosis | mouse | Tamoxifen model Intrauterine adhesion (IUA) | rat Menopause SymptomsMenopause, Osteoporosis, Atrophic vaginitis (VA) | Ovariectomy (OVX) model Other ModelsControlled ovarian hyperstimulation (COH) | mouse Hyperplasia of mammary glands (HMG) | rat |
Other Models and Services |
Endocrine DiseaseDanazol-induced precocious puberty | mouse/rat | High-fat diet (HFD) model, Danazol model Hypoparathyroidism | rat | Total parathyroidectomy (TPTx) model Urinary DiseaseInterstitial cystitis/Bladder pain syndrome (IC/BPS) | rat | Cyclophosphamide (CPA) model Benign prostatic hyperplasia (BPH) | rat | Androgen model Alport Syndrome in mouse Male InfertilityAzoospermia | mouse | Busulfan model, Hyperthermia model TestComputer-assisted sperm analysis (CASA), Steelman-Pohley assay, Follicle counting |
References:
- Carneiro MM. Women’s health in 2024: change now for tomorrow will be too late. Women & Health. 2024. 64(1):1-4. doi: 10.1080/03630242.2024.2292320.
- World Health Organization (WHO): Menopause. 16 October 2024. https://www.who.int/news-room/fact-sheets/detail/menopause
- Gupta, Priya & Mahapatra, Archisman & Suman, Anjali & Singh, Rahul. (2021). Effect of Endocrine Disrupting Chemicals on HPG Axis: A Reproductive Endocrine Homeostasis. 10.5772/intechopen.96330.
- Gatenby C. Simpson P. Menopause: Physiology, definitions, and symptom. Best Practice & Research. Clinical Endocrinology & Metabolism. 2024. 38(1):101855. doi: 10.1016/j.beem.2023.101855.
- Flores VA, Pal L, Manson JA. Hormone therapy in menopause: concepts, controversies, and approach to treatment. Endocrine Reviews. 2021. 42(6):720-752. doi: 10.1210/endrev/bnab011.
- Tahara A, Takamatsu H, Ohtake A, Tanaka-Amino K, Kaku S. Effects of neurokinin 3 receptor antagonist fezolinetant on hot flash-like symptoms in ovariectomized rats. European Journal of Pharmacology. 2021. 905:174207. doi: 10.1016/j.ejphar.2021.174207.
Related Content
Accelerating SLE Drug Discovery: A Short-Term BM12-Induced Mouse Model for Efficient Drug Screening Systemic lupus erythematosus (SLE) is a chronic...
VIEW RESOURCEInflammatory bowel disease (IBD), which includes ulcerative colitis and Crohn’s disease, is a chronic, immune-mediated disorder characterized by persistent inflammation...
VIEW RESOURCE




